Die stille materielle Revolution umgestaltet die Elektronik
Intel 2024 Globales Glasdebüt Substratverpackung Die Technologie detonierte eine seismische Verschiebung der Semiconductor -Herstellung. Am 2025 Suzhou TGV Industry Summit, Technische Führer von Intel, TSMC, und Samsung stimmte zu: “Glassubstrate führen die Halbleiterverpackung in eine „transparente Ära,’ mit der Marktdurchdringung überschritten 50% innerhalb von fünf Jahren.” Diese Analyse untersucht die technologische Begründung, Industrial Chain Transformation, und Implikationen für Leiterplatte Branchen.

1. Technische Überlegenheit: Warum Glassubstrate Verpackung neu definieren
1.1 Dominanz des physischen Eigentums
Die vergleichende Analyse zeigt Gla -Substrate’ überwältigende Vorteile :
| Parameter | Organische Substrate | Siliziuminterposer | Glassubstrate |
|---|---|---|---|
| Dielektrizitätskonstante | 4.2-4.8 | 11.9 | 3.9 |
| Tangente Verlust | 0.02-0.04 | 0.001-0.01 | 0.0001-0.001 |
| CTE (ppm/° C.) | 16-18 | 2.6 | 3.2-7.5 (abstimmbar) |
| Wärmeleitfähigkeit | 0.2-0.3 | 150 | 1.1 |
| Oberflächenrauheit | 0.5-1.0 μm | 0.05 μm | <0.01 μm |
(Quelle: Intel Technical White Paper, Corning Materials Lab)
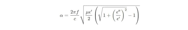
Analyse der Signalverlustgleichungsgleichung
Dämpfung (A) ist definiert als:
Mit ε’ ≈3.9 und ε”≈0.001 für Glassubstrate, Hochfrequenz (100GHz) Verluste verringern sich um 67% gegen organische Substrate (E'4.5, e”≈0.03).
1.2 Exponentielle Dichteverbesserung
Die GB200 -GPU von NVIDIA zeigt 50%+ Die Zählung der Anzahl mit Glassubstraten erhöht, Erzielung von 5 μM/5 & mgr; m Verkabelungsdichte durch:
-
Flatheit auf Atomebene (<0.01μm Rauheit)
-
Einstellbares CTE -Matching (3ppm/° C.)
-
Mechanische Stabilität (700× 700 -mm -Panel -Warpage <50μm)
2. Prozessinnovationen: Industrialisierung der TGV -Technologie
2.1 Durchbruch durch den Glasvia
Die Laseränderung von Titanrise Tech erreicht 8,000 Vias/Sek bei ± 5 μm Präzision (3A), 160× schneller als herkömmliche Methoden. Schlüsselschritte:
-
Pikosekunden -Lasermodifikation: Erzeugt veränderte Zonen im Mikromaßstab
-
HF Radierung: Erreicht 100:1 Seitenverhältnis
-
Metallisation: PVD sputtern + elektroplierend (>15MPA -Haftung)

2.2 Metallisierung Fortschritte
Vier technische Routen befassen sich mit Glasadhäsion:
-
Elektrisch mit + Mikroätzung (AKM -Lösungen)
-
Nano-Ag Paste + Lt Sintering (Wintech Patent)
-
Plasma -Transplantation (IME-CAS-Technologie)
-
PVD Ti/mit Stack (Titanrise Standard)
Darunter, UGPCB hat stark in die Einführung der DEP600 -Ausrüstung investiert, die Sputtertechnologie mit hohem Seitenverhältnis einsetzt, Erreichen 95% Berichterstattung in 10:1 Lochprofile, mit einem Metallwiderstand von weniger als 2.5 μω · cm, ein international führendes Niveau erreichen.
3. Branchenlandschaft: Der globale Wettbewerb intensiviert
3.1 Marktwachstumsprojektionen
Prismark prognostiziert explosive Expansion:
-
2025: $916M (TGV -Substrate)
-
2030: $4.2B (Vollständige Anwendungen)
-
2035: $11.3B (Ganzes Ökosystem)

3.2 Geopolitisches Tech -Rennen
-
USA: Intel Standards + Corning -Versorgungsdominanz
-
Korea: Samsung “Glasallianz” + 9-layer-Stapel von SKC
-
China: Wintech/AKM Massenproduktion + JFE 2026 Lokalisierung
4. Herausforderungen & Lösungen: Kommerzialisierung Hürden
4.1 Kostensenkungswege
Der aktuelle 3-5 × Kostenprämium gegenüber herkömmlichen Substraten sinkt durch:
-
85% Großpanel (>2m²) Verwendung
-
90% Laserbohrkostenreduzierung
-
Metallisierungsertragsverbesserung (60%→ 92%)
4.2 Zuverlässigkeitszertifizierung
Neue Standards erforderlich:
-
Thermalradfahren (-55° C - 2550 ° C., 1,000 Zyklen)
-
Em Lifetime (Mttf >10⁷ Stunden @ jep154)
-
Hochfrequenzstabilität (<0.5DB/CM @100 GHz)
5. Implikationen der PCB -Industrie: Bedrohung gegen Gelegenheit
5.1 Marktstörung
-
30% HDI/Substrat Ersatzrisiko
-
Hybrid (Glas+Harz) Substratmöglichkeiten
5.2 Technologie -Synergien
-
Pikosekunden -Laserbohrannahme
-
PVD-verstärkt HDI Spurenpräzise
-
Optische Inspektion <0.1μm Auflösung
Abschluss: Transparente Substrate, Undurchsichtige Futures
China leitet jetzt kritische TGV -Sektoren (Ausrüstung, Testen, Materialien). Wie Intels Pat Gelsinger nennt: “Materielle Innovation wird zum neuen Mooreschen Gesetz auf Atomwaagen.” Diese glasorientierte Revolution kann die zweite Wachstumskurve von Semiconductor freischalten.
UGPCB-LOGO

