Введение
In high-end печатная плата Производство, Точность бурения непосредственно влияет на целостность и надежность сигнала. Отраслевые данные показывают, что 38% дефектов микро-VIA ниже 0,15 мм происходят из недостатков. (IPC-6012E Стандарт). This study establishes a kinematic model combined with Python simulations to decode polygonal hole formation mechanisms, providing theoretical support for process optimization.
я. Kinematic Modeling: Where Mechanical Ballet Meets Mathematical Principles
Dual-Motion Coupling Mechanism
The drill bit’s composite motion comprise
- Революция: Rotational motion around the theoretical axis at angular velocity ω_p
- Rotation: Spinning around its own axis at angular velocity ω_s
Coordinate System Analysis
A right-handed O-XYZ coordinate system is established with the Z-axis as the theoretical drilling centerline. Ключевые параметры:
- R = 5 мм (revolution radius)
- r = 1 мм (rotation radius)
- ω_p = 2 rad/s
- ω_s = 3 rad/s
- Phase angle φ = π/6 (3° deviation causes 2μm aperture variation per empirical data)
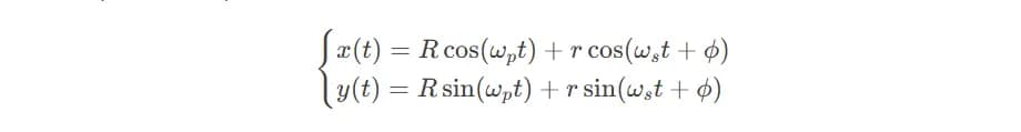
Motion Equation Derivation
The drill tip’s absolute position vector combines both motions:
Rational angular velocity ratios (например, ω_p/ω_s = 2/3) generate closed trajectories, forming pentagonal holes.
II. Python Simulation: Digital Twin Reveals Morphological Evolution
Parametric Modeling
# Dynamic parameter configuration params = { 'R': np.linspace(3,7,5), # Revolution radius gradient 'r': [0.8,1.0,1.2], # Rotation radius combinations 'ω_ratio': [(2,3),(3,4),(5,7)] # Angular velocity ratios }
Characteristic Pattern Analysis
Parameter scanning reveals:
- Integer ratios (ω_p/ω_s ∈ ℤ): Concentric circular trajectories (инжир. 3а)
- Coprime ratios (m/n where m,n ∈ ℤ): n-sided polygonal trajectories (инжир. 3б)
- Irrational ratios: Quasi-periodic trajectories (инжир. 3в)
III. Process Optimization: Bridging Theory and Practice
Golden Angular Velocity Ratio Principle
Fourier analysis recommends:
A leading PCB manufacturer reduced polygonal defects from 1.2% к 0.3% using this principle (2023 quarterly report).
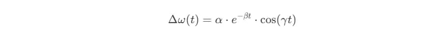
Dynamic Compensation Technology
Introducing acceleration correction:
Compensation reduced hole roundness error from 8μm to 2.5μm in 6-layer Доски HDI (Iso 286-2 стандартный).
IV. Future Perspectives: Intelligent Drilling Era
Digital Twin Systems
Integrated ANSYS Maxwell electromagnetic simulations enable thermal-mechanical-electrical multiphysics coupling.

AI-Driven Parameter Optimization
Deep reinforcement learning model:
Q(с,а)=E[Rt∣st=s,at=a]
Experimental results show AI reduces process debugging cycles by 70% (research institute data).
Заключение
Through kinematic modeling and digital simulation, this study not only elucidates polygonal hole formation mechanisms but also pioneers intelligent drilling paradigms. With surging demand for 5G высокочастотные печатные платы (Prismark forecasts $89.2B global market by 2025), этот “mathematics-driven manufacturing” approach will redefine industry competitiveness.
ЛОГОТИП УГКПБ



